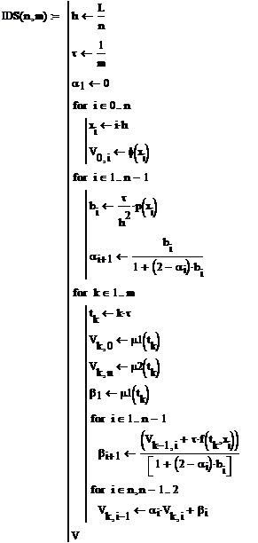
Приложение 11

 

 

Промежуток, начальные и граничные условия, коэффициент и свободный член уравнения

   

 

Параметры и коэффициенты разностной схемы

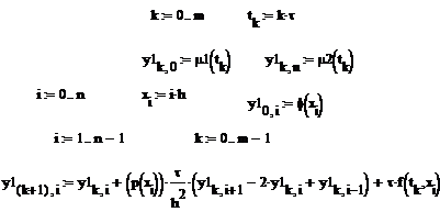
Явная схема

 

 

 

 

 

 

 

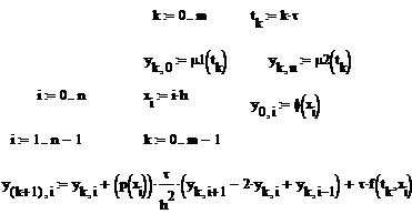
Оценка погрешности по методу Рунге