.
Определить функцию для вычисления суммы бесконечного ряда,
организовав
итерационный процесс. Предусмотреть безопасный цикл.
Значение точности вводить по экспоненциальному формату.
Для записи математической функции использовать макроопределение (директива define), а в тексте программы - макровызов.
Получить таблицу значений теоретической и реализованной функций на
выбранном промежутке [a, b]
с шагом h.
Отобразить результат в виде таблицы, например:
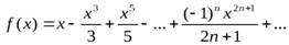
1. Вычислить значение суммы бесконечного ряда
![]()
с точностью до члена ряда, по модулю меньшего e=10-4, и значение функции (для проверки) f=(1+x)^(-1/4), учесть, что x<1.
2.
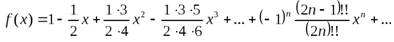
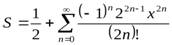
Вычислить значение суммы бесконечного ряда с заданной
точностью e=10-6, ![]()
и значение функции (для проверки)
, учесть, что 0.1£x£1.
3.
Вычислить значение суммы бесконечного ряда с заданной
точностью e=10-5,
, и значение функции (для
проверки)
.
4.
Вычислить значение суммы бесконечного ряда
с точностью до члена ряда, по
модулю меньшего e=10-5, и значение функции (для проверки)
, учесть, что -π£x£π.
5.
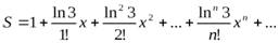
Вычислить значение суммы бесконечного ряда с заданной
точностью e=10-4
, и значение функции (для
проверки)
, учесть, что
.
6. Вычислить значение суммы бесконечного ряда
, с точностью до члена ряда, по
модулю меньшего e=10-4, и значение функции (для проверки) f=3x, учесть, что 0£x£1.
7.
Вычислить значение суммы бесконечного ряда с заданной
точностью e=10-5
и значение функции (для проверки) f=arctg(x), учесть, что x<1.
8.
Вычислить значение суммы бесконечного ряда с заданной
точностью e=10-4
, и
значение функции (для проверки)
, учесть, что
.
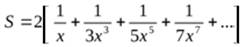
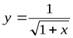
9. Вычислить значение суммы бесконечного ряда
с заданной точностью e=10-6 и значение функции (для
проверки) f=ln(1+x), учесть -1<x£1
10.
Вычислить значение суммы бесконечного ряда с заданной
точностью e=10-4
, и значение функции (для
проверки) y=e*cosx*cos(sinx), учесть, что
.
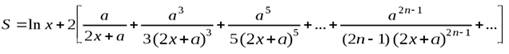
11. Вычислить значение суммы членов бесконечного ряда

с точностью до члена ряда, меньшего e=10-4 для a2<(2x+a)2 и значение функции (для проверки) f=ln (x+a).
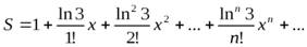
12.
Вычислить значение суммы бесконечного ряда с заданной
точностью e=10-4
, и значение функции (для
проверки)
, учесть, что
.
13. Вычислить значение суммы бесконечного ряда с заданной точностью e=10-6 и значение функции (для проверки) y=cos2x.
![]()
14.
Вычислить значение суммы бесконечного ряда с заданной
точностью e=10-6
, и значение функции (для
проверки)
учесть,
что
.
15. Вычислить значение суммы бесконечного ряда
, с точностью до члена ряда, по
модулю меньшегоe=10-4, и значение функции (для проверки)f=3x, учесть, что 0£x£1.
16. Вычислить значение суммы бесконечного ряда
![]()
и значение функции (для
проверки)
, учесть, что x2<1.
17. Вычислить значение суммы бесконечного ряда
с точностью до члена ряда,
меньшего e=10-4, и значение функции (для проверки) f=ax,
учесть, что 0,1£x£1.
18. Вычислить значение суммы бесконечного ряда с заданной точностью e=10-5
![]()
и значение
функции (для проверки)
,
учесть, что |x|>1.