Лабораторная работа 2

Тема Ветвление

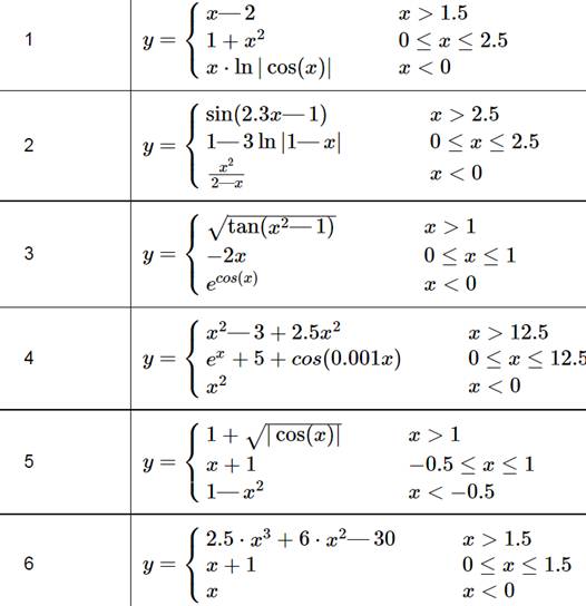
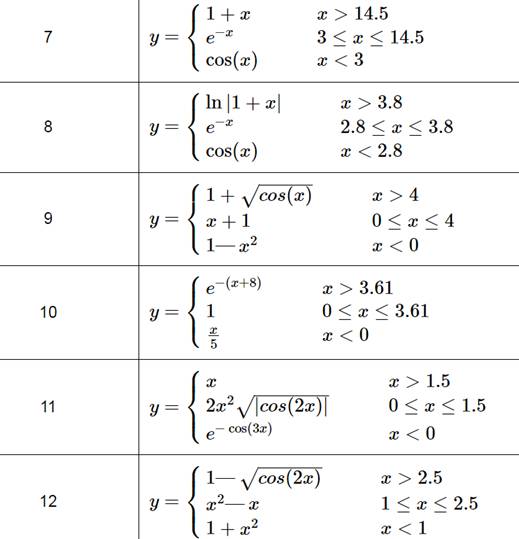
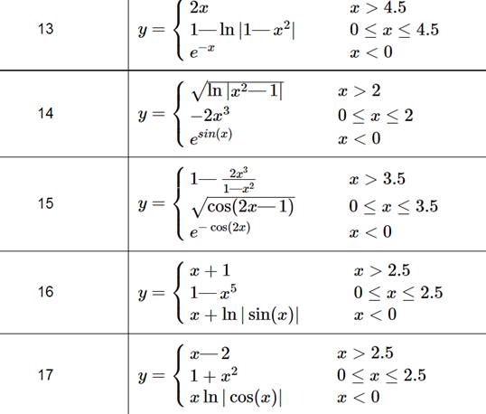
Задание для всех вариантов. Вычислить значение y для заданного x. Нарисовать блок-схему вычислений