Лабораторная работа
№1а. Линейный процесс
1. Даны два числа. Найти
среднее арифметическое и среднее геометрическое их модулей.
2. Даны стороны прямоугольника.
Найти его периметр и длину диагонали.
3. Даны два числа. Найти их
сумму, разность, произведение, а также частное от деления первого числа на
второе.
4. Даны длины сторон
прямоугольного параллелепипеда. Найти его объем и площадь боковой поверхности.
5. Известны координаты на
плоскости двух точек. Составить программу вычисления расстояния между ними.
6. Даны основания и высота
равнобедренной трапеции. Найти периметр трапеции.
7. Треугольник задан
координатами своих вершин. Найти периметр и площадь треугольника.
8. Водонапорная башня
цилиндрической формы имеет радиус основания 10 метров. Ввести замеренную высоту
уровня воды и рассчитать объем воды в башне.
9. Даны два числа. Найти среднее арифметическое
их квадратов и среднее арифметическое их модулей.
10. Скорость лодки
в стоячей воде V км/ч, скорость течения реки U км/ч
(U < V). Время движения лодки по озеру T1 ч,
а по реке (против течения) — T2 ч. Определить путь S,
пройденный лодкой.
11. Скорость первого автомобиля
V1 км/ч, второго — V2 км/ч, расстояние между ними S км.
Определить расстояние между ними через T часов, если автомобили удаляются
друг от друга.
12. Скорость первого автомобиля
V1 км/ч, второго — V2 км/ч, расстояние между ними S км.
Определить расстояние между ними через T часов, если автомобили
первоначально движутся навстречу друг другу.
13. Найти периметр
и площадь прямоугольного треугольника, если даны длины его катетов a и b.
14. Дана длина ребра куба. Найти
площадь грани, площадь полной поверхности и объем этого куба.
15. Найти длину окружности
и площадь круга заданного радиуса R. В качестве значения Pi использовать 3.14.
16. Найти площадь кольца,
внутренний радиус которого равен R1, а внешний радиус равен R2
(R1 < R2). В качестве значения Pi
использовать 3.14.
17. Дана сторона равностороннего
треугольника. Найти площадь этого треугольника и радиусы вписанной
и описанной окружностей.
18. Дана длина окружности. Найти
площадь круга, ограниченного этой окружностью. В качестве значения Pi использовать 3.14.
19. Дана площадь круга. Найти длину окружности,
ограничивающей этот круг. В качестве значения Pi
использовать 3.14.
20. Найти периметр и площадь равнобедренной
трапеции с основаниями a и b (a > b) и углом alpha при большем
основании (угол дан в радианах).
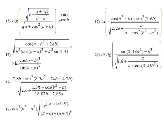
Лабораторная работа
№1б. Арифметические функции
Найти
значение алгебраического выражения, соответствующего варианту задания. Вывести результаты
на печать. Все результаты выводить в развернутом виде (например: «Сумма чисел А
и B равна 3.7854»).
Значения
вводимых величин должны иметь не менее четырех значащих цифр и задаются студентом
самостоятельно.
Через
a и b обозначены подлежащие
вводу числа c плавающей точкой.
Варианты

